

貨號
產品規格
售價
備注
BN15035-10 mg
10 mg
¥600.00
產品描述
應用范圍:巰基反應染料
產品參數
外觀:可溶于 DMSO 或 DMF 的白色固體
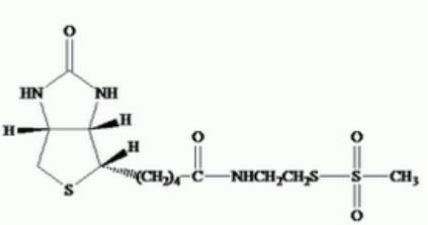
CAS 號:162758-04-5
分子式:C13H16N3O4S3
分子量:381.52
分子結構圖:

貯存條件:-20℃避光干燥保存,12 個月有效
產品介紹:MTSEA biotin (2-((Biotinoyl)amino)ethyl methanethio- sulfonate)在溫和的條件下有選擇地標記巰基,選擇性標記細胞表面的巰基。
注意事項
1.熒光染料均存在淬滅問題,請盡量注意避光,以減緩熒光淬滅。
2.為了您的安全和健康,請穿實驗服并戴一次性手套操作。