

貨號
產品規格
售價
備注
BN14013-200 mg
200 mg
¥250.00
產品描述
應用范圍:線粒體染料
產品參數
外觀:可溶于 DMSO 或 DMF 的橘色固體
λEx/λEm = 474/606 nm (MeOH)
貯存條件:-20℃ 避光保存
保質期:12 個月
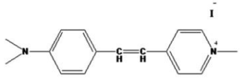
CAS 號:68971-03-9
分子式:C16H19IN2
分子量:366.2
分子結構圖:

產品介紹
4-Di-1-ASP 是苯乙烯基染料,用于染色活細胞線粒體。 它也被用于染色神經膠質瘤細胞、活體大腦組織等。
注意事項
1. 熒光染料均存在淬滅問題,請盡量注意避光,以減緩熒光淬滅。
2. 為了您的安全和健康,請穿實驗服并戴一次性手套操作。