

貨號
產品規格
售價
備注
BN14010-10 mg
10 mg
¥480.00
產品描述
應用范圍:細胞膜熒光染料、神經元順行和逆行示蹤、細胞長期示蹤
產品參數
外觀:可溶于乙醇、DMF、DMSO 的深紅色固體
λEx/λ Em(MeOH)= 549/565 nm
CAS 號:41085-99-8
分子式:C59H97ClN2O4
分子量:933.88
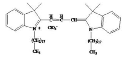
分子結構圖:

貯存條件 -20℃ 避光保存,保質期 12 個月。
產品介紹
DiI 即 DiIC18(3),全稱為 1,1'-dioctadecyl-3,3,3',3'tetra- methylindocarbocyanine perchlorate,是最常用的細胞膜熒光探針之一,呈現橙紅色熒光。DiI 是一種親脂性膜染料,進入細胞膜后可以側向擴散逐漸染色整個細胞的細胞膜。DiI 在進入細胞膜之前熒光非常弱,僅當進入到細胞膜后才可以被激發出很強的熒光。常與 DiA 一起用于細胞膜雙色標記。
DiI 作為示蹤劑或長期示蹤劑(long-term tracer),可以被 廣泛用于正向或逆向,活的或固定的神經等細胞或組織。 DiI 通常不會影響細胞的生存力(viability)。被 DiI 標記的神經細胞在體外培養的條件下可以存活長達 4 周,在體內可以 長達一年。DiI 在被固定的神經元細胞膜上的遷移速率為 0.2-0.6 mm/day,在活的神經元細胞膜上的的遷移速率為 6 mm/day。
DiI 除了用于細胞膜熒光標記外,還可用于檢測細胞的融合和粘附,發育或移植過程中細胞的遷移,通過 FRAP(Fluorescence Recovery After Photobleaching)檢測脂在細胞膜上的擴散,檢測細胞毒性和標記脂蛋白等。
DiI 染色后可進行多聚甲醛(不可使用甲醇等其他試劑)的固定,但不建議在染色后進行透化的過程。此外,在固定透化(室溫下用 0.1% TritonX-100 透化)后,也可以很好地進行質膜染色。
注意事項
1. DiI 染色固定的細胞或組織樣品時,樣品宜使用配制在 PBS 中的 4%多聚甲醛進行固定,使用其它不適當的固定液會導致熒光背景較高。
2. 熒光染料均存在淬滅問題,請盡量注意避光,以減緩熒光淬滅。
3. 為了您的安全和健康,請穿實驗服并戴一次性手套操作。