

貨號
產品規格
售價
備注
BN14008-5 mg
5 mg
¥250.00
產品描述
應用范圍:膜電位染色
產品參數
外觀:可溶于 DMF 或 DMSO 的橘色固體
λEx/λ Em (MeOH) = 493/516 nm
CAS 號:70363-83-6
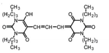
分子式:C27H40N4O6
分子量:519
分子結構圖:

貯存條件 -20℃避光保存,保質期一年。
產品介紹
DiBAC4(3) 是一種檢測細胞膜電位的親脂性陰離子熒光染料,它本身無熒光,當進人細胞與胞漿內的蛋白質結合后才發出熒光。當 DiBAC4(3) 進入細胞后,指示細胞內熒光強度增加,即膜電位增加表示細胞去極化;反之,若細胞內熒光強度降低,即膜電位降低表示細胞超極化。
注意事項
1. 熒光染料均存在淬滅問題,請盡量注意避光,以減緩熒光淬滅。
2. 為了您的安全和健康,請穿實驗服并戴一次性手套操作。