

貨號
產品規格
售價
備注
BN15063-10 mg
10 mg
¥200.00
產品描述
應用范圍:氨基反應活性染料
產品參數
外觀:可溶于 DMSO 的白色固體
CAS 號:89889-52-1
貯存條件:-20℃避光保存
保質期:12 個月
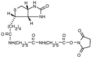
分子式:C26H41N5O7S
分子量:567.7
分子結構圖:

產品介紹
Biotin-XX, SE 在溫和條件下可以很容易地和一級或二級胺反應,常用來標記蛋白。更長的 XX 鏈有利于生物素與親和素或鏈霉素之間的相互作用。
注意事項
1.熒光染料均存在淬滅問題,請盡量注意避光,以減緩熒光淬滅。
2.為了您的安全和健康,請穿實驗服并戴一次性手套操作。